Hari/tanggal : Jum’at/ 08 Oktober 2021
Kelas : IV
Mapel : Matematika
Topik : Bilangan Prima dan Faktor Prima
Tujuan Pembelajaran :
1. Peserta didik dapat memahami bilangan prima
2. Peserta didik dapat memahami faktor prima dan faktorisasi prima
3. Peserta didik dapat menyelesaikan soalbilangan prima dan faktor prima.
Assalamu’alaikum wr. Wb.
Good morning my student? How are you this morning? I hope you are in a good condition.
Are you ready for the great day??
Before we come to our lesson, let’s say Basmallah. (Bismillahirrohmanirrohim)
alhamdulilah kalian hari ini masih bersemangat dalam belajar daring yaa. untuk pembelajaran hari ini kita akan membahas matematika tentang bilangan prima dan faktor prima.
yuk silahkan disimak video berikut ini.
Pengertian bilangan prima
Bilangan prima adalah bilangan asli yang lebih besar dari satu dan hanya bisa dibagi oleh dua bilangan berbeda yaitu 1 dan bilangan itu sendiri. Atau dengan kata lain, bilangan prima adalah bilangan yang tidak bisa dibagi oleh bilangan manapun kecuali bilangan 1 dan bilangan itu sendiri.
Berikut ini tabel bilangan prima 1-100
Keterangan :
• 1 bukan bilangan prima, meskipun 1 tidak dapat dibagi angka lain selain angka itu sendiri, namun angka 1 tidak termasuk bilangan prima. 1 disebut juga bilangan ganjil.
• 2 merupakan bilangan prima karena hanya bisa dibagi 1 dan 2 dan tidak bisa dibagi oleh bilangan lain.
• 3 merupakan bilangan prima karena hanya bisa dibagi 1 dan 3 dan tidak bisa dibagi oleh bilangan lain.
• 4 bukan bilangan prima, karena masih bisa dibagi oleh bilangan selain 1 dan 4 yaitu bisa dibagi 2.
• 5 merupakan bilangan prima karena hanya bisa dibagi 1 dan 5 dan tidak bisa dibagi oleh bilangan lain.
• 6 bukan bilangan prima, karena masih bisa dibagi oleh bilangan selain 1 dan 6 yaitu bisa dibagi 2 dan 3.
Apa itu Faktor prima
Faktor prima adalah faktor-faktor suatu bilangan yang terdiri atas bilangan prima. Untuk mencari faktor prima suatu bilangan, kita dapit menggunakan pohon faktor. Caranya adalah membagi bilangan yang akan dicari faktornya dengan bilangan sampai diperoleh hasil berupa bilangan prima (tidak dapat dibagi lagi).
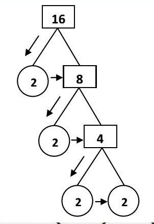
Perhatikan contoh berikut ini:
jadi faktor dari 16 adalah 2
faktorisasi dari 16 adalah 2 x 2 x 2 x 2 =
jadi, faktor prima dari 30 adalah 2,3 dan 5
Faktorisasi prima dari 30 adalah 2 x 3 x 5
Faktorisasi prima adalah perkalian dari faktor – faktor prima suatu bilangan.
Agar kalian lebih paham tentang pohon faktor, untuk latihan hari ini adalah :
LATIHAN
Kerjakan Latihan yang ada di halaman 43 di buku cetak kalian, tulislah kembali soalnya di buku latihan kalian kemudian kalian tentukan faktor prima serta faktorisasi prima dari bilangan tersebut.


Tidak ada komentar:
Posting Komentar